至臻高考 - 武汉高考文化课培训班_艺术生文化课补习_艺考生文化课培训 咨询电话 - 13469950885
招生范围:
湖北
湖南
河北
河南
山东
山西
江苏
江西
安徽
福建
海南
广东
云贵川
东三省
至臻艺考文化课 >> 新闻动态 >> 武汉艺术生文化课培训 高考物理的变速直线运动问题

武汉艺术生文化课培训 高考物理的变速直线运动问题

发布人: 至臻高考 发布日期:
[摘要]武汉艺术生已最后的文化冲刺阶段,如何在培训期间提高文化课的学习效率,从而致胜高考?至臻教你高效学习物理知识。

武汉理综艺术生在进行文化课培训期间,匀变速直线运动即速度均匀变化、加速度不变的直线运动,作为高中物理中一个重要知识点,为了更好的学习该知识点,小编在本文探讨了匀变速直线运动一题多解的实用方法。

武汉艺术生文化课培训
武汉艺术生文化课培训

首先小编带大家总结一下匀变速直线运动中的六种方法:分别是基本公式法、平均速度法、比例法、逆向思维法、推论法和图像法。这一专题中,看似公式有很多,但是只要清楚题目中对应的是什么情况,找到相应的公式来“匹配”,问题就不难解决。下面小编以一道例题,展现匀变速直线运动的公式“匹配”方式。

【例题】物体以一定的初速度冲上固定的光滑的斜面,到达斜面最高点C时速度恰为零,如图所示。已知物体运动到斜面长度3/4处的B点时,所用时间为t,求物体从B滑到C所用的时间。

【解题导思】

(1)物体在上滑时做匀减速直线运动,可看成向下的初速度为零的匀加速直线运动处理。

(2)除了逆向思维法还能用其他方法求解本题吗?请列举并尝试求解。

答:比例法、中间时刻速度法、图象法、推论法等都可求解本题。

解析:

解法一:逆向思维法

物体向上匀减速冲上斜面,可看成向下匀加速滑下斜面。

解法二:比例法

对于初速度为零的匀变速直线运动,在连续相等的时间里通过的位移之比为:

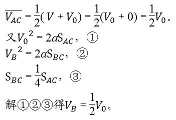
解法三:中间时刻速度法

利用教材中的推论:中间时刻的瞬时速度等于这段位移的平均速度。

可以看出V_B正好等于AC段的平均速度,因此B点是中间时刻的位置。因此有t_BC=t。

解法四:图象面积法

解法五:推论法

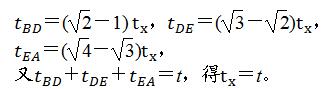
对于初速度为零的匀加速直线运动,通过连续相等的各段位移所用的时间之比:

现将整个斜面分成相等的四段,如图所示。设通过BC段的时间为t_x,那么通过BD、DE、EA的时间分别为:

答案:t

武汉艺术生需谨记,文化成绩提升非一朝一夕能够有所成果,在进行文化课培训期间,抓准复习方向,有效提高文化课学习效率,才是赶上学习进度的重点。

至臻高考祝愿2019届艺术生 高考必胜
至臻高考祝愿2019届艺术生 高考必胜