艺考生文化课辅导 高考物理复习竖直上抛运动_至臻新闻
至臻高考 - 武汉高考文化课培训班_艺术生文化课补习_艺考生文化课培训 咨询电话 - 13469950885
招生范围:
湖北
湖南
河北
河南
山东
山西
江苏
江西
安徽
福建
海南
广东
云贵川
东三省
至臻艺考文化课 >> 新闻动态 >> 艺考生文化课辅导 高考物理复习竖直上抛运动

艺考生文化课辅导 高考物理复习竖直上抛运动

发布人: 至臻高考 发布日期:
[摘要]大部分理综艺考生在进行文化课辅导的同时,都会遇到比较头疼的问题,那就是高考物理知识点中的“竖直上抛运动”如何复习。

结合上文《高考物理的变速直线运动问题》,考生学习了高考物理中的变速直线运动问题,那么艺考生在进行文化课培训辅导时可接着阅读本篇文章,理解竖直上抛运动的两种研究方法。

艺考生文化课培训辅导
艺考生文化课培训辅导

竖直上抛运动是生活中常见的一种运动,也是运动学中结合匀变速直线运动和自由落体运动的一个典型。解决竖直上抛运动,一般采用以下两种方法:分段法和全程法。

【例题】

气球以10 m/s的速度匀速上升,当它上升到离地175 m的高处时,一重物从气球上脱落,则重物需要经过多长时间才能落到地面?到达地面时的速度是多大?(g取10 m/s2)

【解题导思】

(1)重物从气球脱落后是做自由落体运动吗?

答:不是。重物脱落时有竖直向上的初速度,做竖直上抛运动。

(2)重物上升和下落时运动的加速度相同吗?运动学公式在全过程中能否使用?

答:相同,均为重力加速度。因为上升和下落过程中的加速度相同,可用全程法求解,但要注意各物理量的正、负号。

解析:

解法一:

把竖直上抛运动过程分段研究。

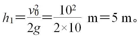
设重物离开气球后,经过t1时间上升到最高点,

上升的最大高度:

故重物离地面的最大高度为:

H=h1+h=5 m+175 m=180 m。

重物从最高处自由下落,落地时间和落地速度分别为:

所以重物从气球上脱落至落地共历时t=t1+t2=7s。

解法二:

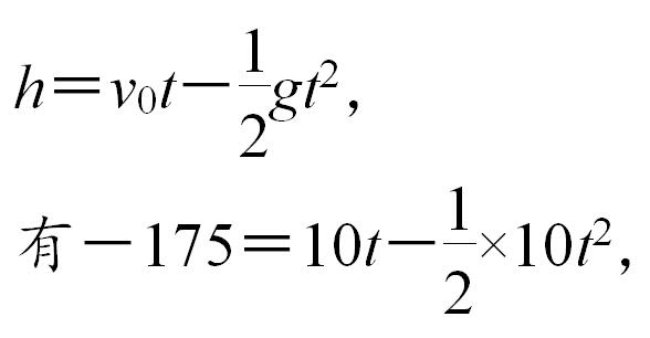
取全过程作一整体进行研究,从物体自气球上脱落计时,经时间t落地,规定初速度方向为正方向,画出运动草图如图所示,则物体在时间t内的位移h=-175 m。

由位移公式:

解得t=7 s和t=-5 s(舍去),

所以重物落地速度为:

v1=v0-gt=10 m/s-10×7 m/s=-60 m/s。

其中负号表示方向向下,与初速度方向相反。

解法三:对称法

根据速度对称,重物返回脱离点时,具有向下的速度v0=10 m/s,设落地速度为v,

则:

解得v=60 m/s,方向竖直向下。

经过h历时:

从最高点到落地历时:

由时间对称可知,重物脱落后至落地历时:t=2t1-Δt=7 s。

答案为:7s,60 m/s

武汉艺考生文化培训 课后复习
武汉艺考生文化培训 课后复习

高考物理千变万化,其中多方面的知识点都需要艺考生谨记于心,在进行文化课培训辅导的同时,一定要注重每个知识点的认真分析以及课后训练,文化成绩的提升并不仅仅是多花时间既能成功,分析自己的掌控知识点的复习主次,牢固各项基础知识,制定合理有效的辅导方案,才是制胜高考的核心要点!